Il defibrillatore nell’ACR
Secondo i dati WHO, nel 2002, circa 16,7 milioni di persone sono morte per malattie cardiovascolari. La cardiopatia ischemica è la principale causa di morte nel mondo, il 30% (circa 7,2 milioni) di tutti i decessi a livello mondiale.
L’arresto cardiaco improvviso (sudden cardiac arrest, SCA) è la prima manifestazione in circa il 25% di questi pz. Quindi parliamo di numeri elevati con tendenza a crescere ulteriormente nei prossimi anni.
E’ in ambiente extraospedaliero? L’out-of-hospital cardiac arrest (OHCA)definito come una condizione improvvisa e inaspettata caratterizzata dall’assenza di polso, e attribuita alla cessazione dell’attività meccanica cardiaca, in Europa approssimativamente conta 275.000 casi all’anno, mentre negli Stati Uniti, nell’anno 2013 sono stati registrati 359,400.
Altre cause di arresto cardiaco sono le cardiomiopatie (ipertrofica, dilatativa), valvulopatie, cardiopatie e anomalie coronariche congenite, Sindrome di Brugada, Sindrome di QT lungo (LQTS), traumi, embolia polmonare, shock settico, disordini metabolici, overdose di farmaci ed etc.
I ritmi di presentazione nell’arresto cardiaco si dividono in due categorie:
Defibrillabili: tachicardia ventricolare (VT), fibrillazione ventricolare (VF)
Non defibrillabili: :asistolia e attività elettrica senza polso (PEA).
L’incidenza di VF come primo ritmo registrato nell’OHCA è difficile da determinare, vengono riportati da 16,8% fino a 63,3% dei casi.
Secondo i dati dello Swedish Cardiac Arrest Registry tra i 14065 casi di arresto cardiaco extraospedaliero (rianimati 10996 pz) nel periodo 1990-1995, il primo ECG ha mostrato VF in 43% dei casi, con incidenza stimata nel momento dell’arresto tra 60-70% in tutti, e 80-85% in quelli da causa cardiaca.
La defibrillazione precoce, definita come la terminazione di VF per almeno 5 sec dopo una scarica, è fondamentale per la sopravvivenza, per diversi motivi:
1) il ritmo di presentazione più frequente in ambiente extra ospedaliero è la fibrillazione ventricolare,
2)il trattamento per la FV è la defibrillazione,
3)la probabilità di successo della fibrillazione diminuisce rapidamente nel tempo
4) e la VF tende a deteriorarsi nel tempo.
IL DEFIBRILLATORE
Ne esistono di diversi tipi: manuali, semiautomatici (DAE), automatici, impiantabili (ICD).
Consideriamo i manuali (di norma utilizzati dal medico dell’emergenza territoriale).
Sono dispositivi che hanno la funzione di applicare scariche elettriche di breve durata, ed elevata intensità attraverso il torace e il cuore del paziente, al fine di depolarizzare le cellule del miocardio ed eliminare la VF, riattivando il normale ritmo cardiaco.
La fonte di elettricità è rappresentata dalla batteria ricaricabile, che nonostante possa contenere una notevole quantità di energia non è in grado di erogare una forma d’onda di defibrillazione rapidamente somministrabile al pz. Premendo il tasto carica, l’ energia estratta dalla batteria va a caricare il condensatore del nostro defibrillatore, e una volta caricato, è pronto per l’erogazione della scarica attraverso le piastre.
Le linee guida parlano di energia, le stesse impostazioni del defibrillatore sono misurate in energia, ma è la corrente che defibrilla il cuore.
La corrente e’ un flusso di cariche elettriche all’interno di conduttori (come il nostro corpo) misurata in ampere (A). Le cariche elettriche scorrono per effetto di una forza, detta elettromotrice (o tensione, differenza di potenziale), che viene misurata in Volt, mentre un’altra forza si oppone al flusso di cariche elettriche, chiamata resistenza elettrica (impedenza).
La corrente elettrica, la tensione e l’impedenza sono in rapporto tra di loro secondo equazione di Ohm
I=V/R
con I la corrente che attraversa il conduttore, V la tensione applicata, e R l’impedenza.
L’energia è misurata in Joule ed equivale:
E= differenza di potenziale (Volt) x corrente (Ampere) x tempo (sec).
Semplificando, possiamo paragonare i componenti dell’elettricità con l’acqua: il condensatore viene rappresentato da un serbatoio d’acqua, che immagazzina energia (volume d’acqua) che crea pressione (tensione) e spinge l’acqua nei tubi (flusso di corrente).
Quando noi andiamo a selezionare l’energia per la defibrillazione, impostiamo la quantità di tensione applicata al condensatore. Tale correlazione non è la stessa per ogni dispositivo poiché dipende dal produttore, egli può attribuire a 130 J 2000 Volt mentre un altro produttore può attribuire 2.200 Volt alla stessa impostazione.
Come abbiamo visto precedentemente, la corrente, secondo l’equazione di Ohm dipende, oltre che dalla tensione, dalla impedenza toracica del paziente. Se l’impedenza è alta il flusso di elettroni si riduce e può non essere sufficiente per la defibrillazione (nell’adulto la media è di 70-80 ohm).
L’impedenza dipende:
1. dalla grandezza degli elettrodi adesivi (più grandi sono più l’impedenza è bassa)
2. dalle dimensioni del torace (più grosso è il torace più elevata è l’impedenza)
3. dalla fase ventilatoria in cui si eroga lo shock e dalla presenza di patologie respiratorie come BPCO (l’aria presente nei polmoni impedisce una buona conduzione dell’elettricità)
4. dalla superficie e pressione di contatto elettrodo/cute (cute bagnata torace molto irsuto, pasta elettroconduttrice)
5. dal numero e dall’intervallo di tempo delle scariche elettriche erogate (erogare shock in successione rapida abbassa l’impedenza) .
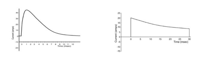
Per ogni scarica, la quantità di corrente somministrata al paziente nel corso del tempo, viene rappresentata graficamente attraverso una forma d’onda. I moderni defibrillatori sono classificati in base a due tipologie di forma d’onda: monofasica e bifasica.
Nel primo tipo, la forma d’onda erogata è unipolare, cioè la corrente fluisce in un’unica direzione (dalla piastra A alla B). Nel secondo tipo invece, la corrente per un tempo specifico ha una certa direzione (dalla A alla B) e per il tempo restante si muove nella direzione opposta.
Le più comuni onde monofasiche sono la sinusoidale smorzata (Monophasic Damped Sine waveform o MDS) che ritorna gradualmente al valore zero di corrente e l’onda monofasica esponenziale troncata (Monophasic Truncated Exponential waveform o MTE) che ritorna invece bruscamente a flusso zero (da cui il nome troncata).

Onda monofasica sinusoidale smorzata (MDS) / Onda monofasica esponenziale troncata (MTE)
Anche le onde bifasciche sono essenzialmente due: la bifasica esponenziale troncata (Biphasic Truncated Exponential waveform o BTE) e la bifasica rettilinea (Biphasic Rectilinear waveform o RLB).

Onda bifasica esponenziale troncata (BTE) / Bifasica Rettilinea (RLB)
| Fonte: http://prehospitalemergency.com/– Dott. Giorgio Diakidis |
| Le foto presenti sul sito sono state in larga parte reperite su Internet e quindi valutate di pubblico dominio. Se i soggetti o gli autori avessero qualcosa in contrario alla pubblicazione, non avranno che da segnalarlo all’indirizzo e-mail admin@soccorritori.ch, lo Staff provvederà prontamente alla rimozione delle immagini utilizzate. |
